Timeline of Events

851643 vertical-paramedic-wallpaper-2000x1331

Dear valued reader,
You might be finding yourself at this location on our site because you are curious, and you might be looking for answers as to what was and is going on in our beloved province of BC. You might be searching for some factual truth. Our hope is that you may find it in yourself to read the following lines all the way to the END and let them speak for themselves. You may notice some repetitiveness in the quotes (blue italic text). This is done on purpose to point out the obvious. Thank you for your time and may you find it in your heart to lead as many fellow BC citizens as possible to this page…

Troy Clifford, CUPE 873 President, President’s Update, November 2019
Quotes:

“…I reflect on how cautiously optimistic we are about the prospect of changing how we deliver services in communities throughout BC. There is no doubt there are many challenges in the coming months that will test us all.”
“I’m confident we will do all we can to tackle any obstacles that occur, through a planned and deliberate transition to shape the future of Paramedic and Dispatch services in the Province.”
“I am deeply troubled about how short staffed our dispatch centres are, how frequent cars are out of service in the urban, metro, rural and remote areas of the province. In my opinion, we are in a resource crisis. This must change and, I commit we will do everything we can to advocate and emphasize for resources commensurate with the workload in all areas.”

Troy Clifford, Mike Smith Show (CKNW) on Vaccine Mandates, September 15, 2021
Quotes:

Mike Smyth (01:56):
Okay, so you're not going to fight back against this? Like the BC Nurses Union yesterday saying they're opposed to this, you guys are not opposed to it. You're going along with it, right?

Troy Clifford (02:05):
Yeah, we're going to comply with the laws for sure and when the direction of the government comes down and makes it ...

Mike Smyth (02:40):
Are you saying that there are some paramedics who just don't want to take the vaccine because it's their personal choice and you're supporting them on that or what?

Troy Clifford (03:0S):
Yeah. Well, just to be clear, we're supporting them on their choice, but what that leads to as far as people having the right to choose, we do believe that. But there's also implications of that and if the government made it very clear that there'll be employment consequences to your choice..

Mike Smyth (03:23):
Well, you'll be fired. Right?

Mike Smyth (04:18):
What kind of impact would that have on the paramedic service?

Troy Clifford (04:32):
…I would counter that with an argument or a position that paramedics who get sick and can't come to work are way worse for our system and our staffing and resources than a few that choose not to work because of not following the direction of vaccinations. We need everyone on deck to fight this and hold the line again.

Troy Clifford, CUPE 873 President, President’s Update, December 2020
Quotes:

“We need everyone on deck to fight this and hold the line again.”

“We are very frustrated with the leadership of BCEHS who are not acting quick enough to address incredible OOS numbers in the province. They continue to not see the true magnitude of our worst staffing and workload crisis in our history.

Based on the responses by some frontline managers it appears the focus is on discrediting the union for stating the truth by sounding the alarm. We need the managers to acknowledge the magnitude and significant impacts this crisis is having on our service, the patients, the public and more importantly you.

We make no apologies for sounding the alarm wherever we can. We cannot keep quiet any longer.

Troy Clifford, Mike Smith Show (CKNW) on Vaccine Mandates, September 15, 2021
Quotes:

Mike Smyth (01:56):
Okay, so you're not going to fight back against this? Like the BC Nurses Union yesterday saying they're opposed to this, you guys are not opposed to it. You're going along with it, right?

Troy Clifford (02:05):
Yeah, we're going to comply with the laws for sure and when the direction of the government comes down and makes it ...

Mike Smyth (02:40):
Are you saying that there are some paramedics who just don't want to take the vaccine because it's their personal choice and you're supporting them on that or what?

Troy Clifford (03:0S):
Yeah. Well, just to be clear, we're supporting them on their choice, but what that leads to as far as people having the right to choose, we do believe that. But there's also implications of that and if the government made it very clear that there'll be employment consequences to your choice..

Mike Smyth (03:23):
Well, you'll be fired. Right?

Mike Smyth (04:18):
What kind of impact would that have on the paramedic service?

Troy Clifford (04:32):
…I would counter that with an argument or a position that paramedics who get sick and can't come to work are way worse for our system and our staffing and resources than a few that choose not to work because of not following the direction of vaccinations. We need everyone on deck to fight this and hold the line again.

Troy Clifford, CUPE 873 President, President’s Update, January 2021
Quotes:

“We make no apologies for fighting for our members, this profession, the service and our patients.”

“2021 will continue to see tough times with COVID-19, the opioid crisis, unprecedented workloads, OOS levels, fatigue, stress, and staffing shortages – all of which will continue to test everything we have.”

“I will be on the frontlines with each and every one of you to meet this head on and I truly believe there is light at the end of the tunnel.”

Troy Clifford, Mike Smith Show (CKNW) on Vaccine Mandates, September 15, 2021
Quotes:

Mike Smyth (01:56):
Okay, so you're not going to fight back against this? Like the BC Nurses Union yesterday saying they're opposed to this, you guys are not opposed to it. You're going along with it, right?

Troy Clifford (02:05):
Yeah, we're going to comply with the laws for sure and when the direction of the government comes down and makes it ...

Mike Smyth (02:40):
Are you saying that there are some paramedics who just don't want to take the vaccine because it's their personal choice and you're supporting them on that or what?

Troy Clifford (03:0S):
Yeah. Well, just to be clear, we're supporting them on their choice, but what that leads to as far as people having the right to choose, we do believe that. But there's also implications of that and if the government made it very clear that there'll be employment consequences to your choice..

Mike Smyth (03:23):
Well, you'll be fired. Right?

Mike Smyth (04:18):
What kind of impact would that have on the paramedic service?

Troy Clifford (04:32):
…I would counter that with an argument or a position that paramedics who get sick and can't come to work are way worse for our system and our staffing and resources than a few that choose not to work because of not following the direction of vaccinations. We need everyone on deck to fight this and hold the line again.

Troy Clifford, CUPE 873 President, President’s Update, March 2021
Quotes:

“I do not sound the alarm or call out those responsible for managing our service lightly or un-conscientiously.”

“Recent media coverage has sounded the alarm and shone the spotlight on the staffing and workload crisis Paramedics and Dispatchers have been facing for many years and how the situation has escalated to emergency levels over the past few months.

“I’ve been a Paramedic for 33 years… and can say without hesitation, staffing and workload is the worst I’ve ever seen. Politically spinning or denying there’s an issue, is impacting, paramedics and dispatcher’s well-being, organizational morale, and equally our patients and the public we serve.

“Yes, it did not happen overnight. We know recruitment, retention, staffing, workload, and fatigue have been issues for years. Out-of-service levels are at an all-time high with no meaningful resolve or acknowledgment in sight by the organizations.”

“The impacts of ignoring rising call volumes and a lack of resources *province-wide* for years without a meaningful plan or action has got the service in this situation and we can no longer have empty words or band aid solutions.”

“The last three weekends we have seen upwards of 30 ambulances parked in Region 2. In proportion we are experiencing similar numbers in every corner of the province and in our dispatch centres.”

“The pressure on our Dispatchers, Call-takers and Paramedic Specialists is incredible with no ambulances to send for extended periods. The call backs, the stress of trying to reassure callers, all on top of what they do day in and day out is culminating. There has to be better recruitment of Paramedics into this profession, paying people $2 an hour to drive hours away from home for days on end isn’t meaningful or enticing.

Troy Clifford, Mike Smith Show (CKNW) on Vaccine Mandates, September 15, 2021
Quotes:

Mike Smyth (01:56):
Okay, so you're not going to fight back against this? Like the BC Nurses Union yesterday saying they're opposed to this, you guys are not opposed to it. You're going along with it, right?

Troy Clifford (02:05):
Yeah, we're going to comply with the laws for sure and when the direction of the government comes down and makes it ...

Mike Smyth (02:40):
Are you saying that there are some paramedics who just don't want to take the vaccine because it's their personal choice and you're supporting them on that or what?

Troy Clifford (03:0S):
Yeah. Well, just to be clear, we're supporting them on their choice, but what that leads to as far as people having the right to choose, we do believe that. But there's also implications of that and if the government made it very clear that there'll be employment consequences to your choice..

Mike Smyth (03:23):
Well, you'll be fired. Right?

Mike Smyth (04:18):
What kind of impact would that have on the paramedic service?

Troy Clifford (04:32):
…I would counter that with an argument or a position that paramedics who get sick and can't come to work are way worse for our system and our staffing and resources than a few that choose not to work because of not following the direction of vaccinations. We need everyone on deck to fight this and hold the line again.

Troy Clifford, CUPE 873 President, President’s Update, April 2021
Quotes:

“When will the leadership of BCEHS and PHSA step up and acknowledge what we are facing in our service? Who is accountable and responsible? What will it take?”

“It is with deep despondency I report the mutually agreed to Staffing and Workload committee announced September 17, 2020 has failed to address one single issue.

“We know sounding the alarm or holding those responsible for managing our service accountable will likely see strikes on our union officers, members and me personally so I do not do so lightly or un-conscientiously, however our duty and responsibility is to advocate for our members, the profession, the service, the public and patients.”

“I take my responsibility very serious and believe leadership comes with a responsibility to do more.”

Troy Clifford, Mike Smith Show (CKNW) on Vaccine Mandates, September 15, 2021
Quotes:

Mike Smyth (01:56):
Okay, so you're not going to fight back against this? Like the BC Nurses Union yesterday saying they're opposed to this, you guys are not opposed to it. You're going along with it, right?

Troy Clifford (02:05):
Yeah, we're going to comply with the laws for sure and when the direction of the government comes down and makes it ...

Mike Smyth (02:40):
Are you saying that there are some paramedics who just don't want to take the vaccine because it's their personal choice and you're supporting them on that or what?

Troy Clifford (03:0S):
Yeah. Well, just to be clear, we're supporting them on their choice, but what that leads to as far as people having the right to choose, we do believe that. But there's also implications of that and if the government made it very clear that there'll be employment consequences to your choice..

Mike Smyth (03:23):
Well, you'll be fired. Right?

Mike Smyth (04:18):
What kind of impact would that have on the paramedic service?

Troy Clifford (04:32):
…I would counter that with an argument or a position that paramedics who get sick and can't come to work are way worse for our system and our staffing and resources than a few that choose not to work because of not following the direction of vaccinations. We need everyone on deck to fight this and hold the line again.

Troy Clifford, CUPE 873 President, President’s Update, May 2021
Quotes:

“It is tough to see the impacts to the well-being of our members, especially with a lack acknowledgement from BCEHS leadership and their public statements declaring we have stable staffing and no current recruitment issues.”

“It is more evident than ever that we will have to create the culture where everyone matters ourselves.”

“The fundamental roadblock continues to be that BCEHS leadership is either unwilling or incapable to acknowledge or address the issues. What will it take for BCEHS and PHSA to show the public and all of us “the plan” to address the challenges we are seeing every day, we have pleaded, proposed solutions… what will it take? I hope not another Amanda Fletcher…”

CUPE 873 Provincial Executive Committee, Members Memo, May 6 2021
Quotes:

“Recently, the Union has been made aware of the Employer utilizing social media posts in disciplinary investigations. This includes posts on the APBC social media platforms as well as members own personal pages. Some of those posts were expressing discontent with the Employer’s actions on staffing, workload and scheduling issues.”

“It should be noted that, we completely disagree that members who express a dissenting opinion or are expressing frustration with BCEHS are grounds for discipline,…”

Troy Clifford, Mike Smith Show (CKNW) on Vaccine Mandates, September 15, 2021
Quotes:

Mike Smyth (01:56):
Okay, so you're not going to fight back against this? Like the BC Nurses Union yesterday saying they're opposed to this, you guys are not opposed to it. You're going along with it, right?

Troy Clifford (02:05):
Yeah, we're going to comply with the laws for sure and when the direction of the government comes down and makes it ...

Mike Smyth (02:40):
Are you saying that there are some paramedics who just don't want to take the vaccine because it's their personal choice and you're supporting them on that or what?

Troy Clifford (03:0S):
Yeah. Well, just to be clear, we're supporting them on their choice, but what that leads to as far as people having the right to choose, we do believe that. But there's also implications of that and if the government made it very clear that there'll be employment consequences to your choice..

Mike Smyth (03:23):
Well, you'll be fired. Right?

Mike Smyth (04:18):
What kind of impact would that have on the paramedic service?

Troy Clifford (04:32):
…I would counter that with an argument or a position that paramedics who get sick and can't come to work are way worse for our system and our staffing and resources than a few that choose not to work because of not following the direction of vaccinations. We need everyone on deck to fight this and hold the line again.

Troy Clifford, CUPE 873 President, President’s Update, June 2021
Quotes:

“We cannot be intimidated or pressured to deviate from doing the right thing. Our fundamental duties, priorities, roles, and responsibilities are to represent members under the Collective Agreement, natural justice, best practices, statutes, and laws.”

Troy Clifford, Mike Smith Show (CKNW) on Vaccine Mandates, September 15, 2021
Quotes:

Mike Smyth (01:56):
Okay, so you're not going to fight back against this? Like the BC Nurses Union yesterday saying they're opposed to this, you guys are not opposed to it. You're going along with it, right?

Troy Clifford (02:05):
Yeah, we're going to comply with the laws for sure and when the direction of the government comes down and makes it ...

Mike Smyth (02:40):
Are you saying that there are some paramedics who just don't want to take the vaccine because it's their personal choice and you're supporting them on that or what?

Troy Clifford (03:0S):
Yeah. Well, just to be clear, we're supporting them on their choice, but what that leads to as far as people having the right to choose, we do believe that. But there's also implications of that and if the government made it very clear that there'll be employment consequences to your choice..

Mike Smyth (03:23):
Well, you'll be fired. Right?

Mike Smyth (04:18):
What kind of impact would that have on the paramedic service?

Troy Clifford (04:32):
…I would counter that with an argument or a position that paramedics who get sick and can't come to work are way worse for our system and our staffing and resources than a few that choose not to work because of not following the direction of vaccinations. We need everyone on deck to fight this and hold the line again.

Troy Clifford, CUPE 873 President, Members Update, July 3 2021
Quotes:

“Since long before the COVID pandemic, staffing crisis and heat emergency, the Union has provided multiple briefing notes and proposed solutions to address some of the systematic issues to the Employer. To see our Chief blame the Union and Collective Agreement, in the media, as an excuse for the Employer’s failure to address is disappointing, at best. Clearly, it is a distraction from the fact that BCEHS refused to implement even basic emergency management concepts.”

Troy Clifford, CUPE 873 President, Members Update, July 7 2021
Quotes:

“As we reported last week, members of the Provincial Executive Committee (PEC) met each day with the senior leadership of BCEHS to address the disaster that happened on the previous weekend’s heatwave and the ongoing collapse of the ability to respond to calls province wide. While these talks started off well, they ended with a definite tone of unwillingness to work collaboratively.”

“Due to mounting pressure from patients, the public, our public safety partners, and the media onslaught, on Thursday July 1st I requested a meeting with the Minister of Health (MOH) and he agreed to meet with me the next day.”

“On the morning of Sunday July 11th, the CEO of PHSA, David Byres reached out and asked to meet with myself and our Provincial Vice President, Dave Deines.”

“At the meeting, Mr. Byres informed us that he was aware the MOH had requested a list of solutions from APBC addressing ongoing service issues, and that the Minister had made the same request of PHSA.”

“On Monday July 5th, we shared our solutions based briefing document developed for the MOH with PHSA. PHSA leadership was very receptive to our presentation and document, which encompassed 55 recommendations for remote, rural, urban and metro service.”

“PHSA took our document and recommendations away for review in an effort to determine which recommendations they could support as a joint submission.”

“Your PEC is scheduled to meet with the MOH on Thursday. This will be our one chance to put what we need to do into Minister Dix’s mind:
   1) Make sure we are never in this position again,
   2) Ensure a high-performance paramedic service that gets a paramedic to a patient in a timely manner, while supporting our members and
   3) Fix the systemic issues plaguing our service.”

Troy Clifford, Mike Smith Show (CKNW) on Vaccine Mandates, September 15, 2021
Quotes:

Mike Smyth (01:56):
Okay, so you're not going to fight back against this? Like the BC Nurses Union yesterday saying they're opposed to this, you guys are not opposed to it. You're going along with it, right?

Troy Clifford (02:05):
Yeah, we're going to comply with the laws for sure and when the direction of the government comes down and makes it ...

Mike Smyth (02:40):
Are you saying that there are some paramedics who just don't want to take the vaccine because it's their personal choice and you're supporting them on that or what?

Troy Clifford (03:0S):
Yeah. Well, just to be clear, we're supporting them on their choice, but what that leads to as far as people having the right to choose, we do believe that. But there's also implications of that and if the government made it very clear that there'll be employment consequences to your choice..

Mike Smyth (03:23):
Well, you'll be fired. Right?

Mike Smyth (04:18):
What kind of impact would that have on the paramedic service?

Troy Clifford (04:32):
…I would counter that with an argument or a position that paramedics who get sick and can't come to work are way worse for our system and our staffing and resources than a few that choose not to work because of not following the direction of vaccinations. We need everyone on deck to fight this and hold the line again.

Troy Clifford, CUPE 873 President, President’s Update, August 2021
Quotes:

“On top of our experience with out of service levels across the province, we saw things come to a head following the tragic heat dome emergency in late June, with the media, public, paramedics and dispatchers, pleading for help. After months of sounding the alarm, we were desperate for action; our members, our patients, and the public needed intervention by those responsible for providing Ambulance Services to the citizens of BC.”

“We have been providing solutions for some time to BCEHS and PHSA with no meaningful action or change.”

“In parallel we have been working and assisting with immediate measures to address the emergent staffing shortages in all areas of the province, and the emergency preparedness challenges such as wildfires, the heat wave, the long weekend and air quality.”

Troy Clifford, Mike Smith Show (CKNW) on Vaccine Mandates, September 15, 2021
Quotes:

Mike Smyth (01:56):
Okay, so you're not going to fight back against this? Like the BC Nurses Union yesterday saying they're opposed to this, you guys are not opposed to it. You're going along with it, right?

Troy Clifford (02:05):
Yeah, we're going to comply with the laws for sure and when the direction of the government comes down and makes it ...

Mike Smyth (02:40):
Are you saying that there are some paramedics who just don't want to take the vaccine because it's their personal choice and you're supporting them on that or what?

Troy Clifford (03:0S):
Yeah. Well, just to be clear, we're supporting them on their choice, but what that leads to as far as people having the right to choose, we do believe that. But there's also implications of that and if the government made it very clear that there'll be employment consequences to your choice..

Mike Smyth (03:23):
Well, you'll be fired. Right?

Mike Smyth (04:18):
What kind of impact would that have on the paramedic service?

Troy Clifford (04:32):
…I would counter that with an argument or a position that paramedics who get sick and can't come to work are way worse for our system and our staffing and resources than a few that choose not to work because of not following the direction of vaccinations. We need everyone on deck to fight this and hold the line again.

CUPE 873 Provincial Executive Committee, Members Update, September 16 2021
Quotes:

“We have received inquiries around the Provincial Health Officer (PHO) and Ministry of Health’s (MOH) announcement https://www.youtube.com/watch?v=93Rnjmr7iCk regarding “mandatory vaccinations” for healthcare workers in BC and more specifically as it relates to employment with BCEHS.”

“It is important to note, we are working closely with BCEHS, PHSA, HEABC and the MOH, however we still do not have all the information on how this announcement will affect our members and our profession.”

“First, it is important to define what is meant by “mandatory vaccination.” In the context of the PHO orders, we are talking about the requirement by some employers and establishments to provide proof of fully vaccinated status against COVID-19. There is no current requirement to inject a vaccine into people. People will have a choice. Choices come with consequences and currently the consequence for not being able to prove vaccination is that you cannot enter a non-essential establishment as described in the PHO order or work in some environments. Employers and owners of establishments can also establish policies above and beyond the PHO order, provided they are conforming with common law and associated jurisprudence.”

“People’s “human rights” must also be taken in context of the safety of the public (seatbelt and smoking arguments) as well as the rights of the vaccinated population. In the employment context, the test is almost always what is “reasonable.””

“We have included a recent article by the BC Human Rights Tribunal and the main points are captured at page 5 and 10, particularly the following: “In my view, a person who chooses not to get vaccinated as a matter of personal preference — especially where that choice is based on misinformation or misunderstandings of scientific information — does not have grounds for a human rights complaint against a duty bearer implementing a vaccination status policy.” In addition, we have provided CUPE National’s Vaccine mandate guidelines.”

“We understand that some people may have a different view on this and respect that they have the right to those views. They also have the right to not be bullied or harassed because of that view, just like people who support the vaccination passports do.”

“APBC is committed to representing the interests of our members and our profession as both the labour Union and the professional voice of paramedics in British Columbia.”

Troy Clifford, Mike Smith Show (CKNW) on Vaccine Mandates, September 15, 2021
Quotes:

Mike Smyth (01:56):
Okay, so you're not going to fight back against this? Like the BC Nurses Union yesterday saying they're opposed to this, you guys are not opposed to it. You're going along with it, right?

Troy Clifford (02:05):
Yeah, we're going to comply with the laws for sure and when the direction of the government comes down and makes it ...

Mike Smyth (02:40):
Are you saying that there are some paramedics who just don't want to take the vaccine because it's their personal choice and you're supporting them on that or what?

Troy Clifford (03:0S):
Yeah. Well, just to be clear, we're supporting them on their choice, but what that leads to as far as people having the right to choose, we do believe that. But there's also implications of that and if the government made it very clear that there'll be employment consequences to your choice..

Mike Smyth (03:23):
Well, you'll be fired. Right?

Mike Smyth (04:18):
What kind of impact would that have on the paramedic service?

Troy Clifford (04:32):
…I would counter that with an argument or a position that paramedics who get sick and can't come to work are way worse for our system and our staffing and resources than a few that choose not to work because of not following the direction of vaccinations. We need everyone on deck to fight this and hold the line again.

Troy Clifford, CUPE 873 President, President’s Update, October 2021
Quotes:

“…I am concerned we have not seen enough immediate and meaningful change to ambulance OOS levels, 911 answering, response times, workload, mental/health and wellness, shared service issues, such as payroll, HR/TA, scheduling, recruitment, and the list goes on.”

“We must hold BCEHS accountable to provide the vital Ambulance and Dispatch Services the citizens of BC expect.”

“…we need more action on immediate issues to address the emergent staffing shortages, emergency preparedness, and employee wellness challenges in all areas of the province.”

“As President my key priorities are to ensure we continue to make member mental health and wellness paramount and to do all I can to change the culture and morale in our service, these are non-negotiable, and blue printed in the CSA standard.”

“…we need to absolutely ensure enough resources to serve our patients and the public we serve.”

Troy Clifford, Mike Smith Show (CKNW) on Vaccine Mandates, September 15, 2021
Quotes:

Mike Smyth (01:56):
Okay, so you're not going to fight back against this? Like the BC Nurses Union yesterday saying they're opposed to this, you guys are not opposed to it. You're going along with it, right?

Troy Clifford (02:05):
Yeah, we're going to comply with the laws for sure and when the direction of the government comes down and makes it ...

Mike Smyth (02:40):
Are you saying that there are some paramedics who just don't want to take the vaccine because it's their personal choice and you're supporting them on that or what?

Troy Clifford (03:0S):
Yeah. Well, just to be clear, we're supporting them on their choice, but what that leads to as far as people having the right to choose, we do believe that. But there's also implications of that and if the government made it very clear that there'll be employment consequences to your choice..

Mike Smyth (03:23):
Well, you'll be fired. Right?

Mike Smyth (04:18):
What kind of impact would that have on the paramedic service?

Troy Clifford (04:32):
…I would counter that with an argument or a position that paramedics who get sick and can't come to work are way worse for our system and our staffing and resources than a few that choose not to work because of not following the direction of vaccinations. We need everyone on deck to fight this and hold the line again.

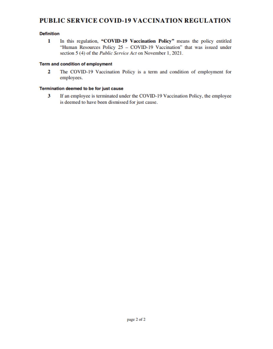
On October 25th, 2021, all paramedics, affected by the mandates, who made an informed decision about their bodily autonomy and/or based on religious conviction were put on LEAVE WITHOUT PAY despite working on the frontline for nearly 18 months, right through the height of the pandemic, using their PPE (Personal Protective Equipment) professionally, safely and effectively!

Troy Clifford, CUPE 873 President, President’s Update, November 2021
Quotes:

“I cannot express how refreshed and excited I am for our future following conclusion of our annual convention.”

“We look forward with rejuvenated hope and vision for change so desperately needed in our service and profession.”

“I remain committed more than ever to lead you all. I am proud for the honour to serve you…”

Troy Clifford, Mike Smith Show (CKNW) on Vaccine Mandates, September 15, 2021
Quotes:

Mike Smyth (01:56):
Okay, so you're not going to fight back against this? Like the BC Nurses Union yesterday saying they're opposed to this, you guys are not opposed to it. You're going along with it, right?

Troy Clifford (02:05):
Yeah, we're going to comply with the laws for sure and when the direction of the government comes down and makes it ...

Mike Smyth (02:40):
Are you saying that there are some paramedics who just don't want to take the vaccine because it's their personal choice and you're supporting them on that or what?

Troy Clifford (03:0S):
Yeah. Well, just to be clear, we're supporting them on their choice, but what that leads to as far as people having the right to choose, we do believe that. But there's also implications of that and if the government made it very clear that there'll be employment consequences to your choice..

Mike Smyth (03:23):
Well, you'll be fired. Right?

Mike Smyth (04:18):
What kind of impact would that have on the paramedic service?

Troy Clifford (04:32):
…I would counter that with an argument or a position that paramedics who get sick and can't come to work are way worse for our system and our staffing and resources than a few that choose not to work because of not following the direction of vaccinations. We need everyone on deck to fight this and hold the line again.

On November 17th, 2021, just 3 weeks later, all affected paramedics were terminated.

And then, 2 days later, retroactively… 

Order%20Of%20The%20Lieutenant%20GovernorOrder%20Of%20The%20Lieutenant%20Governor%202

This now left highly trained professionals, some of them with 30+ years of experience, without severance, access to EI, any course of regress and a huge stain on an otherwise unblemished employee record.
Many paramedics face unbelievable financial hardships. Some are about to lose their homes, rental arrangements, marriages, and all of them have lost relationships with colleagues, friends, and family…

And already in January 2021…

Robert Parkinson, Director of Health and Wellness, CUPE 873; Memo: Negative Reaction to COVID-19 Vaccination, January 11th 2021
Quotes:

“There have been growing questions regarding whether a worker is eligible for WSBC compensation if they have a negative reaction to the COVID-19 vaccination. We have asked WSBC about this specific scenario and when we get their response, we will update the membership.”

“A worker’s compensation application for an adverse reaction to the COVID-19 vaccination or other vaccinations directed by employers, when filed, will be adjudicated on the merits of the application by WSBC’s Claims or Occupational Disease Service departments.”

While WSBC coverage usually occurs when we are at work and wearing a uniform, it can also be when we are engaged in activities directed by an employer.

Troy Clifford, Mike Smith Show (CKNW) on Vaccine Mandates, September 15, 2021
Quotes:

Mike Smyth (01:56):
Okay, so you're not going to fight back against this? Like the BC Nurses Union yesterday saying they're opposed to this, you guys are not opposed to it. You're going along with it, right?

Troy Clifford (02:05):
Yeah, we're going to comply with the laws for sure and when the direction of the government comes down and makes it ...

Mike Smyth (02:40):
Are you saying that there are some paramedics who just don't want to take the vaccine because it's their personal choice and you're supporting them on that or what?

Troy Clifford (03:0S):
Yeah. Well, just to be clear, we're supporting them on their choice, but what that leads to as far as people having the right to choose, we do believe that. But there's also implications of that and if the government made it very clear that there'll be employment consequences to your choice..

Mike Smyth (03:23):
Well, you'll be fired. Right?

Mike Smyth (04:18):
What kind of impact would that have on the paramedic service?

Troy Clifford (04:32):
…I would counter that with an argument or a position that paramedics who get sick and can't come to work are way worse for our system and our staffing and resources than a few that choose not to work because of not following the direction of vaccinations. We need everyone on deck to fight this and hold the line again.

Troy Clifford, CUPE 873 President, Provincial President Message, August 2022
Quote:

“We currently have over 1,000 vacancies throughout the province that are unfilled. The numbers are staggering when you add them to the everyday staffing crisis, operational stressors, psychological injuries, and illnesses we are working through. Provincially, we are consistently seeing 30% of our ambulances unstaffed and in many cases much higher”.

And finally, for anyone who had any doubt where CUPE 873 under the direction of CUPE NATIONAL is headed...

Mark Hancock, CUPE National President, Introduction letter to CUPE Nationals 16th International Solidarity Report 2020-2021, December 2021
Quotes:

“International Solidarity is a priority for CUPE. Our report outlines CUPE’s relationships with unions and social movements around the world and highlights our work on a variety on international issues in 2020-2021.”

In the report itself…

CUPE National, International Solidarity Report 2020-2021, pg. 15

GLOBAL TRADE UNION ASSEMBLY
In 2020, a series of virtual trade union assemblies titled Pandemic and Beyond: Workers Organizing for a Public Future focused on reshaping global policies and politics. CUPE gathered with trade unions and labour organizations from around the world to discuss the implications of the COVID-19 crisis and to consider new ways of strengthening international worker solidarity.

Unions strategized about issues linked to the pandemic including public services, the climate crisis, global finance, and labour rights. The consensus was clear: we cannot return to the world that allowed the COVID-19 virus to flourish. The assembly developed proposals that would transform our post-pandemic world to centre justice, sustainability, public ownership, and the redistribution of wealth.

 Your Future May Depend On Our Future!

Contact

bcparamediclegal@protonmail.com